PRODUCTS
1.Name:Amygdalin
2.Appearance:White powder
3. Specification:98%
4. CAS No:29883-15-6
5. Transport Package:1kg Aluminum Foil Bag/25kg Drum
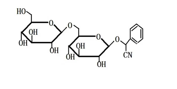
6. Molecular Formula:C20H27NO11
7. Molecular Weight:457.43
8.Certificates: Organic, Kosher, ISO, HALAL, HACCP, GMP
9. Storage method: dry and cool place
10. Payment Method: T/T Western Union/Alibaba Online/Visa
Specification
|
Product name |
Amygdalin |
|
CAS |
29883-15-6 |
|
Grade |
Pharmaceutical grade |
|
Specification |
98% |
What is Amygdalin
Amygdalin mainly exists in the kernels and leaves of bitter apricots, bitter almonds, peaches, nectarines, loquats, plums, apples, black cherries, etc. There is no amygdalin in the skin of bitter almonds.

Amygdalin is a β-glycoside composed of gentiobiose and amygdalin.The content of amygdalin in bitter almonds is about 3%, which is 20 to 30 times higher than that in sweet almonds. Among them, the content at the tip of the skin is slightly higher, and there is no amygdalin in the skin. Raw almonds contain 0.179% HCN. Boiling consumes 98% of hydrocyanic acid (HCN, H-C≡N), while frying consumes 3-7% of HCN.Its trihydrate is an orthorhombic columnar crystal with a melting point of 200°C. The melting point of anhydrous is about 20°C. [α]: 20D-42°C. 1g is soluble in 12ml H2O, 900ml ethanol and 11ml ethanol, and is easily soluble in boiling water.
The protein in bitter almonds includes the enzyme that decomposes amygdalin, which needs to be inactivated during the preparation process. The common method is to blanch the bitter almonds (with skin) after boiling water (90-100°C). It is advisable to control the appropriate length of time (usually about 5 minutes, if it is too long, about 34.1% of the original amount will be lost, and if it is too short, it will not be enough to inactivate the amygdalin enzyme.), take it out, peel it, dry it, and cook it again.
Bitter almonds contain 50% fatty acids, which are high-grade lubricants and are edible. They are mainly linoleic acid (27%), oleic acid (67%), and palmitic acid (5.2%). They have the functions of repelling insects, sterilizing, moisturizing the intestines, and It has functions such as softening the cuticle of the skin, but it needs to be removed when preparing amygdalin, and the oil yield is 44%.

Molecular formula: C20H27NO11
Molecular weight: 457.428.
Purity: ≥98%
Appearance: red crystal powder
Benefits
1. Relieves cough and asthma. It is used to reduce lung qi ascending and stagnation and enter the lung meridian. For cough due to wind-cold, it can be taken with licorice and ephedra; for cough due to wind-heat, it can be taken with chrysanthemum and mulberry leaves. For dryness and heat, you can use it with Adenophora and Fritillaria to clear the lungs and moisturize the dryness. Lung heat can be used with plaster to relieve heat and relieve lung heat.
2. Moisten the intestines and relieve constipation, used for intestinal dryness and constipation. It is used to treat constipation caused by dryness of the intestines. It is generally taken with medicinal materials such as Yuliren and Baiziren. Those with blood deficiency and constipation should take it together with Rehmannia glutinosa, Angelica sinensis, etc.
3. Beauty and beauty. Used to moisturize the skin and improve skin blood circulation. It is rich in vitamins B1, B2 and volatile oils, which can reduce skin wrinkles, make the skin rosy and shiny, and slow down skin aging. It is especially suitable for female friends.
Why choose us

Our Certificate
We are certified by GMP, KOSHER, HALAL, HACCP and ISO

Our Factory
Xinlubio is a leading professional company dedicated to pure and natural products since 2013. Xinlubio is a professional supplier, we pursue high quality products. We hope to establish a long-term cooperative relationship with every customer

Package
1kg aluminum foil bag or 25kg Drum

FAQ
1. What we do
We are a botanical extract manufacturer, which means we do customized products. So if you cannot find ready products here, you can email us detailed requirement and we'll try our best to tailor the suitable product for you. Even if we are not able to supply you, we'll let you know asap too.
2.What file do you need to prepare if you want to get a quotation from us Please tell us some info.
About what you need, like quantity, destination, application, your company name and contact info.etc. If you bought it before, It's better that you have a exist spec. for us. Off course more details it will be helpful for us to reccomend a suitable product for you.
3. How about the delivery
Normally, for sample order, our delivery is about 2-4 days. For small batch, our delivery is about 3-5 days. For mass production batch, our delivery is about 4-8 days. But that depends on the real condition when we get your order.
4.How can we guarantee you receive an good quality product
Our management is in this feild over 15 years and our facotry is GMP and ISO certified. we use advanced philosophy and equipment.
5. With payment terms do we accept
For sample orders or small batch, we suggest you to use Pay-pal and Western Union.For mass production batch, we suggest you to use T/T.
6.With transportation do we use
For small quantity, it will be sent to you by DHL and EMS etc. For mass production batch, it will be delivered by air or sea.
Contact us
If you are looking for a reliable source of this valuable compound, please do not hesitate to contact us at sasha_slsbio@aliyun.com.
If you have any enquiry about quotation or cooperation, please feel free to email us at E-mail or use the following enquiry form. Our sales representative will contact you within 24 hours. Thank you for your interest in our products.